Svaku kružnicu možemo napraviti "trigonometrijskom kružnicom" na sljedeći način:
tako što ćemo sve tri navedene dužine podijeliti sa ct = PN i nakon toga dobiti:
a) Tako što ćemo sve tri veličine pomnožiti "vremenskim intervalom" t > 0 ,
b) Brzinom c > v > 0 ,
c) Brzinom v > 0 ,
d) Dužinom ct,
e) Dužinom vt, itd.
Svaki put ćemo dobiti korektne algebarske iskaze i odgovarajuće relativne odnose između novodobijenih veličina.
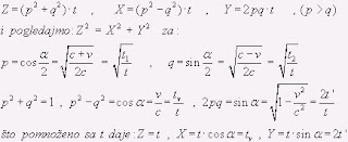
Pomnožimo sve sa t (mogli smo odmah podijeliti sve sa c, ali sam želio naglasiti "trigonometrijsku kružnicu") i pogledajmo algebarske iskaze:
Naravno, radi se o Ajnštajnovom vremenskom intervalu 2t' , a ne Lorencovom.
Ima li nekome štogod nejasno u ova tri algebarska iskaza? Znam da to nije bilo jasno Albertu Einsteinu - a vama?! Ima li kakvog "problema" ako sve pomnožim sa c ili v?! Smeta li vam što ne pominjem "inercijalne sisteme referencije", "koordinatne sisteme", Lorenca, Einsteina, Minkowskog, "kvadrivektore",....?!
U ta tri navedena
algebarska, geometrijska i fizčka iskaza sadržana je sva "mudrost" i
istinitost Einsteinove STR i sva suština istinitosti Lorentzovih
("boost") transformacija koordinata.
Zato, provjerite i uvjerite se sami svojim umom i razumom u istinitost iskaza:
Zato, provjerite i uvjerite se sami svojim umom i razumom u istinitost iskaza:
Navedeni fizički, geometrijski i algebarski iskazi predstavljaju mogućnost, moguću istinu,
i tačni su za sve moguće brzine 0 < v < c , bilo kojih skalarnih
vrijednosti, i bilo kojeg međusobnog relativnog odnosa c/v = n > 1.
Posljedica su, za Ajnštajna zbog postulata 2. STR - c je c u svima
pravcima, smjerovima i sistemima neovisno od brzine kretanja emitera ili
detektora svjetlosti, je
Suštinska istinitost tog
stava proizilazi iz odnosa veličina za aritmetičku (A), geometrijsku (G)
i harmonijsku (H) sredinu veličina u STR .
U svim mogućim konkretnim primjerima radi se o veličinama: H (harmonijska sredina) = 2l0 i A (aritmetička sredina) = ct, za dužine 2ct1 i 2ct2 , t = t1 + t2Neka vas ne iznenađuje jednostavnost algebarskih transformacija. Provjerite ih i razmišljajte dublje i temeljitije od Alberta Ajnštajna:
+Elipsa+1.gif)






Nema komentara:
Objavi komentar